BIO

Indrani

Welcome to my site! I appreciate your time in getting to know me. I am Indrani, currently a postdoctoral researcher at the Academia Sinica Institute of Astronomy & Astrophysics (ASIAA) in Taipei, Taiwan.

My roots lie in Calcutta, India. I earned my Bachelor's degree in Physics from the Bethune College, University of Calcutta. Thereafter, I completed my Master's degree in Physics at the Indian Institute of Technology Kharagpur (IIT KGP), in India. Afterward, I moved to Canada to pursue my Ph.D. in Astrophysics, specifically in Star Formation, under the supervision of Prof. Shantanu Basu at University of Western Ontario, in London, Canada. I collaborate with researchers across the world to explore and grow research ideas. Learning new things from my colleagues and collaborators around the globe has been a true privilege—an inspiring journey that greatly broadens my horizons.

My research interests span broadly in theoretical and numerical astrophysics, and aim specifically to understand how stars and planets form. My work focuses on the major open problems of star and planet formation physics, such as the magnetized gravitational collapse of molecular cloud cores and the crucial role of the magnetic fields in this process. I use cutting-edge magnetohydrodynamic (MHD) simulations and theoretical modelling to decipher the earlies stages of star formation, the evolution of protoplanetary disks around young stars, and prospects of first-generation planetesimal formation. If you're interested, you can check out my research here.

I have a strong passion for continuous learning and growing, which naturally extends to my enthusiasm for public outreach and science communication. As a woman of color, I have been actively committed to improving diversity and equity within the field of physics. During my graduate studies at Western University in Canada, I had the rewarding experience of working as a graduate teaching assistant for both undergraduate and graduate-level physics and math courses—an opportunity that further strengthened my interest in teaching and mentoring. My interest in pursuing Astrophysics & Astronomy was first sparked by the stunning images in the observational astronomy sections of science magazines. As I learned more, I discovered the deep connection between those visuals and the underlying mathematics and physics, which only deepened my fascination with the universe and captured my curiosity to led me to explore the fundamental question—how did the the stars and planets form in our universe?

Outside the lab, I consider myself an active person who enjoys engaging in playing badminton, exploring nature, diving into new experiences. I love spending time with my family. My profession allows me to travel globally to attend scientific conferences, present my work, and exchange exciting ideas. As an avid traveler, I also enjoy exploring new places, local cultures, and delicious cuisines.

Please contact me, if you have any questions.

Portfolio

Work Experience

Nov, 2022 - Present, Postdoctoral Research Fellow

Academia Sinica Institute of Astronomy and Astrophysics (ASIAA), Taipei, Taiwan

(Jan, 2023 - Dec, 2024, Academia Sinica (AS) Postdoctoral Fellow)

  1. Conceptualization and conducting global nonideal MHD simulations to investigate the early stages of protostar formation. Specifically studying the interplay of gravity, magnetic fields, and thermal pressure on the infall dynamics during core collapse, supported by ALMA observations
  2. Conceptualization and performing global numerical simulations, which simulates the co-evolution of gas and dust in a protoplanetary disk since the prestellar core collapse (taking dust growth and back reaction on gas into account) to study the long-term evolution of dusty protoplanetary disks, episodic accretion, and prospects for planetesimal formation, supported by observations
  3. Studying the effects of nonideal MHD processes, such as, ambipolar diffusion (AD) in the formation of astrophysical shocks in the magnetized molecular clouds using Astaroth simulation code, which is a GPU powered higher-order finite difference code designed to solve astrophysical fluid dynamics problems. Conceptualization and developing the numerical framework of Sod shock tube tests for several cases, including the hydrodynamic and magnetohydrodynamic shocks.

Education

Sep, 2018 - Aug, 2022, Ph.D. Physics

The University of Western Ontario, London, Canada

🔗 PhD Thesis:“The Role of Nonideal Magnetohydrodynamic Effects, Gravitational Instability, and Episodic Accretion in Star-Formation”

  1. Ambipolar diffusion induced gravitational fragmentation to estimate the prestellar core lifetime and fragmentation lengthscale in the molecular clouds
  2. Gravitational fragmentation in a magnetized rotating protostellar disk with nonideal magnetohydrodyanmic effects and implpications for the giant planet formation using linear stability analysis under a magnetic Toomre-Q criterion.
  3. Episodic disk-to-star mass accretion outbursts during the protostar formation

July, 2015 - July, 2017, M.Sc. Physics

Indian Institute of Technology, Kharagpur, India

Master's Thesis: "The effects of massive neutrinos in the spatial distribution of neutral hydrogen (HI)”
Understanding the impact of massive neutrinos on the spatial distribution of neutral hydrogen (HI) is crucial, as their presence enhances HI clustering and boosts the HI power spectrum amplitude—offering a promising avenue to constrain neutrino masses through upcoming 21cm surveys.

June, 2012 - June, 2015, B.Sc. Physics

Bethune College, University of Calcutta, Kolkata, India

Honors & Awards

  1. Awarded "Academia Sinica (AS) Fellowship" (2023~2024)
  2. Awarded the "Lillian Margaret & Walter David Jackson Scholarship" in Physics for the academic excellence in the Department of Physics and Astronomy at the University of Western Ontario (2021~2022)
  3. Awarded "Mitacs Globalink Research Award" (2021)
  4. Awarded "INSPIRE Scholarship for Higher Education" by the Department of Science and Technology (DST), Government of India (2012~2017)
  5. Awarded "Graduate Teaching Assistant Award of Excellence" by the Department of Physics & Astronomy of University of Western Ontario (2022)

My Research

My research interests focus on star and planet formation, with a particular emphasis on the earliest stages of star formation and the evolution of a protoplanetary disk around the young protostar. I perform detailed nonideal magnetohydrodynamic (MHD) simulations of core collapse to understand the role of gravity, magnetic fields, and thermal pressure in the formation of protostars (pre-main sequence stars). In addition, I also study long-term evolution of gas-dust magnetized protoplanetary disks to understand the accretion mechanisms of young stars—such as episodic outbursts—and its consequences on the the dust growth and streaming instability. These processes are central to the formation of first-generation planetesimals, the building blocks of planets. I also study how molecular clouds undergo magnetized gravitational fragmentation to form dense prestellar cores—the birthsites of star formation. My aim is to connect observations and theory of star-disk systems by exploring the underlying physics through theoretical and numerical modeling. I have also worked with the observers to help disentangle complex collapse kinematics observed in young protostellar systems. If you're interested, you can check out my publications here.

Science Keywords: Star formation, Planet formation, Magnetic fields, Nonideal MHD effects, Episodic accretion outbursts, Protoplanetary disks, Dust dynamics
Technical Keywords: Computational Astrophysics, MHD simulations, Astaroth GPU Code, Semi-analytical Modelling


Here I summarize the some of the key works that I have carried out with my collaborators.

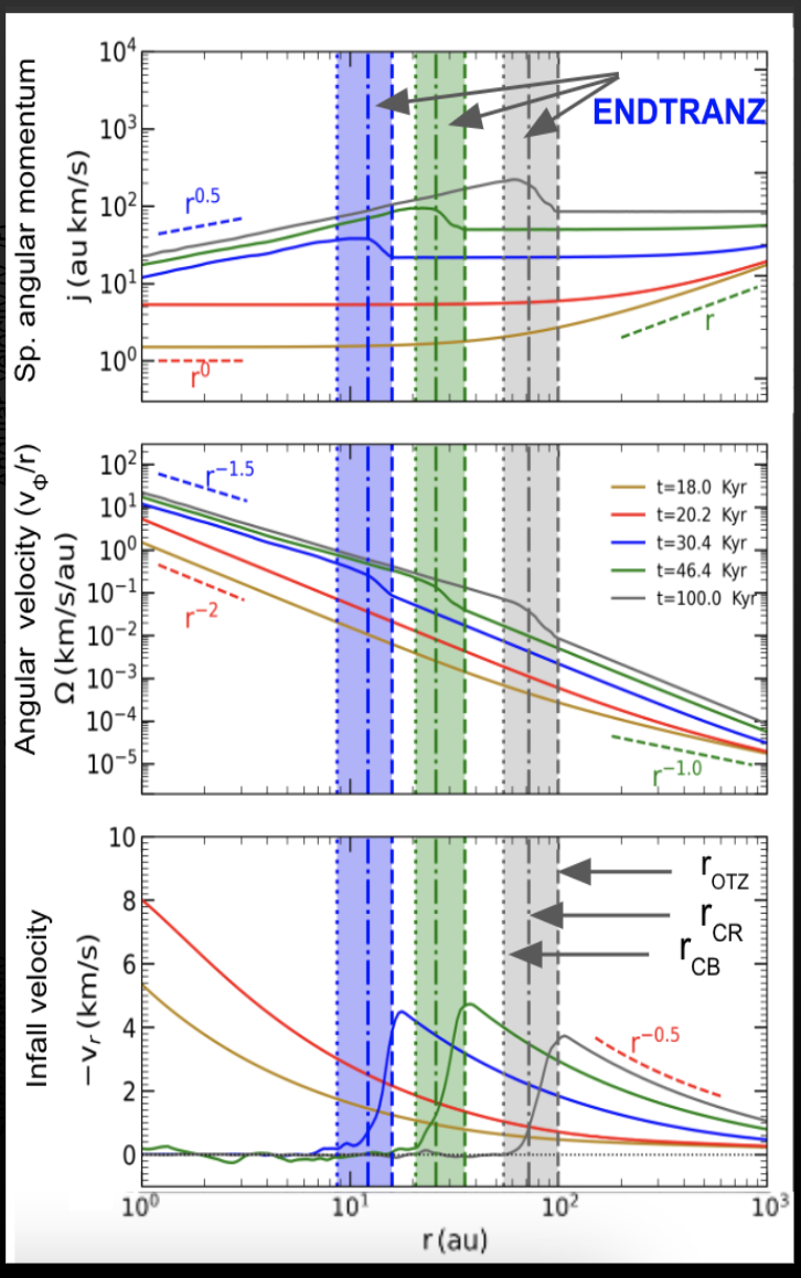
1. Modelling the Break in the Angular Momentum within the Envelope-Disk Transition Zone

Das, Basu, Ohashi, et al. ApJ, 2026

ALMA Reveals How Planet-Forming Disks Take Shape (ALMA Observatory)
News on Unveiling the Mystery of Protoplanetary Disk Formation Around Young Stars (ALMA-NAOJ; ALMA node of East Asian region)
Astronomers crack a decades-old mystery, catching gas morphing into planet-building disks around newborn stars (Phys.org)
How a Cosmic Cloud Becomes a Solar System: Scientists Discover the “EnDTranZ” Missing Link (CITA/ICAT, Canada)
Unveiling the Mystery of Protoplanetary Disk Formation Around Young Stars (ASIAA, Taiwan)
       Rät­sel der Ent­ste­hung pro­to­pla­ne­ta­rer Schei­ben um junge Sterne gelöst (U. of Innsbruck, Austria)

We investigate the radial profile of specific angular momentum (j-r) during star-disk formation using global MHD disk simulations and found that there exists an envelope-disk transition zone (EnDTranZ) where the transition from the infalling-rotating envelope (where rotational velocity vφ ~ r-1 or j ~ const.) to Keplerian disk (where vφ ~ r-1/2 or j ~ r1/2) gradually happens through a jump in the j-r profile and the infall velocity (vr) gradually decelerates over an extended region from the outer radius of transition zone (rOTZ) to the model centrifugal barrier (rCB) rather than abruptly impacting the rotationally supported disk such that the transition in vφ from ~ r-1 to ~ r-1/2 gradually happens over a finite radial zone. In addition, our numerical simulations that considers the fluid treatment that includes the physics of gas pressure gradient, disk self-gravity, GI, viscous accretion etc., yield a centrifugal radius to centrifugal barrier ratio (rCR/rCB) of 1.1-1.5 that differs from rCR/rCB=2 based on the classical point particle approach. On the observational ground, we identify a j-r jump in the observed j-r profile of class 0/I protostar L1527 IRS from the ALMA Large Program eDisk (Embedded disks in early planet formation) observations that can be used as a kinematical tracer for the existence of EnDTranZ in the young protostellar systems. This is the first study to demonstrate the physics of ENDTRANZ and its consistent observational evidence that highlights the first detection of ENDTRANZ tracer from the eDisk Survey.

jrmodel eDiskIndrani


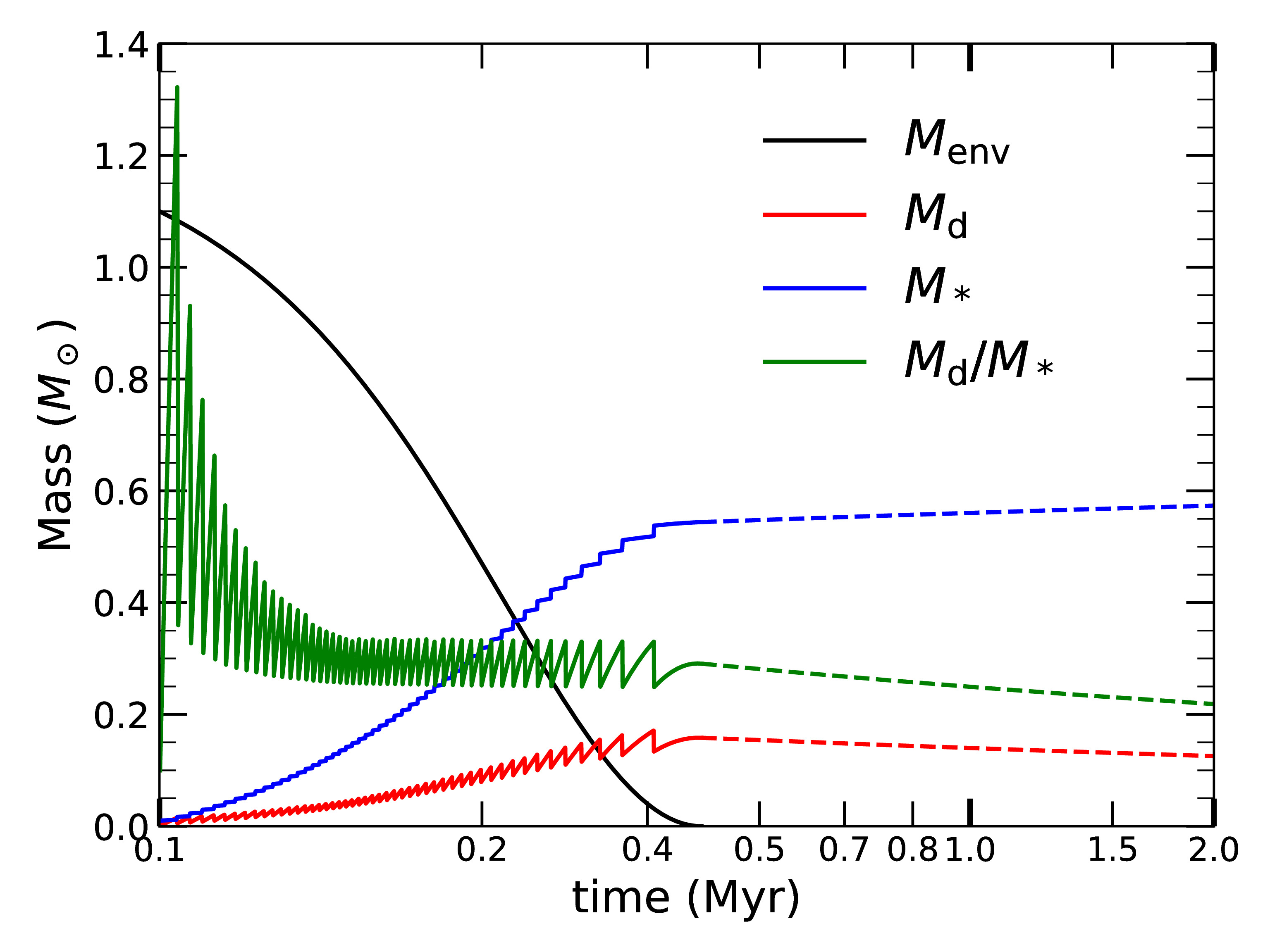
2. Evolution of Protoplanetary Disks and Prospects of Planetesimal Formation

Das, Vorobyov, & Basu, ApJ, 2025
In this work, we investigated We investigate the occurrence of accretion bursts, dust accumulation, and the prospects for planetesimal formation in a gravitationally unstable magnetized protoplanetary disk (PPD) with globally suppressed but episodically triggered magnetorotational instability (MRI), particularly in young intermediate-mass stars (YIMSs) but with a comparison to its low-mass cousins. Massive gas concentrations and dust rings form within the inner disk region owing to the radially varying efficiency of mass transport by gravitational instability. These rings are initially susceptible to streaming instability (SI). The ensuing MRI bursts destroy the dust rings, making planetesimal formation via SI problematic. In the later evolution phase, when the burst activity starts to diminish, SI becomes inefficient because of growing dust drift velocity and a more extended inner dead zone, both acting to reduce the dust concentration below the threshold for the SI to develop. Low-mass objects appear to be less affected by these adverse effects. Our results suggest that disks around YIMSs may be challenging environments for planetesimal formation via SI. This may explain the dearth of planets around stars with M > 3M.

fig2a fig2b


3. How Does a Protostar Form though Magnetized Gravitaional Collapse?

Das, Shang, & Krasnopolsky, ApJ, 2025
The enigma of star formation in galaxies continues to captivate astronomers around the world, with a fundamental question remaining: how do self-gravity, magnetic fields, and thermal pressure play a role in protostar formation? Our work reveals a constraint on the degree of non-isothermality in the choice of Equation of states (EOSs), that says a polytropic monoatomic index of Γ no stiffer than 4/3, complemented by the magnetized virial theorem, ensures sufficient cooling in allowing a protostar to form and grow continuously through the magnetized gravitational collapse of interstellar molecular gas clouds. The global MHD collapse models with a Γ softer than or equal to 4/3, the infall dynamics qualitatively follow the behaviour of the isothermal case. However, for the model collapse with a Γ harder than 4/3, causes a reduction in the mass accretion rate into the central (point-mass like) protostar, thus delaying the collapse. At the scales of protostar’s surface, which is likely several solar radii, the heating from the accumulated material within may begin to significantly influence the EOS by transitioning to the regime of nonisothermality. However, this regime of nonisothermality may remain confined to within the protostar’s surface only, similar to the case of a chromosphere, and certainly does not impede the mass infall during collapse.

fig1b fig1a


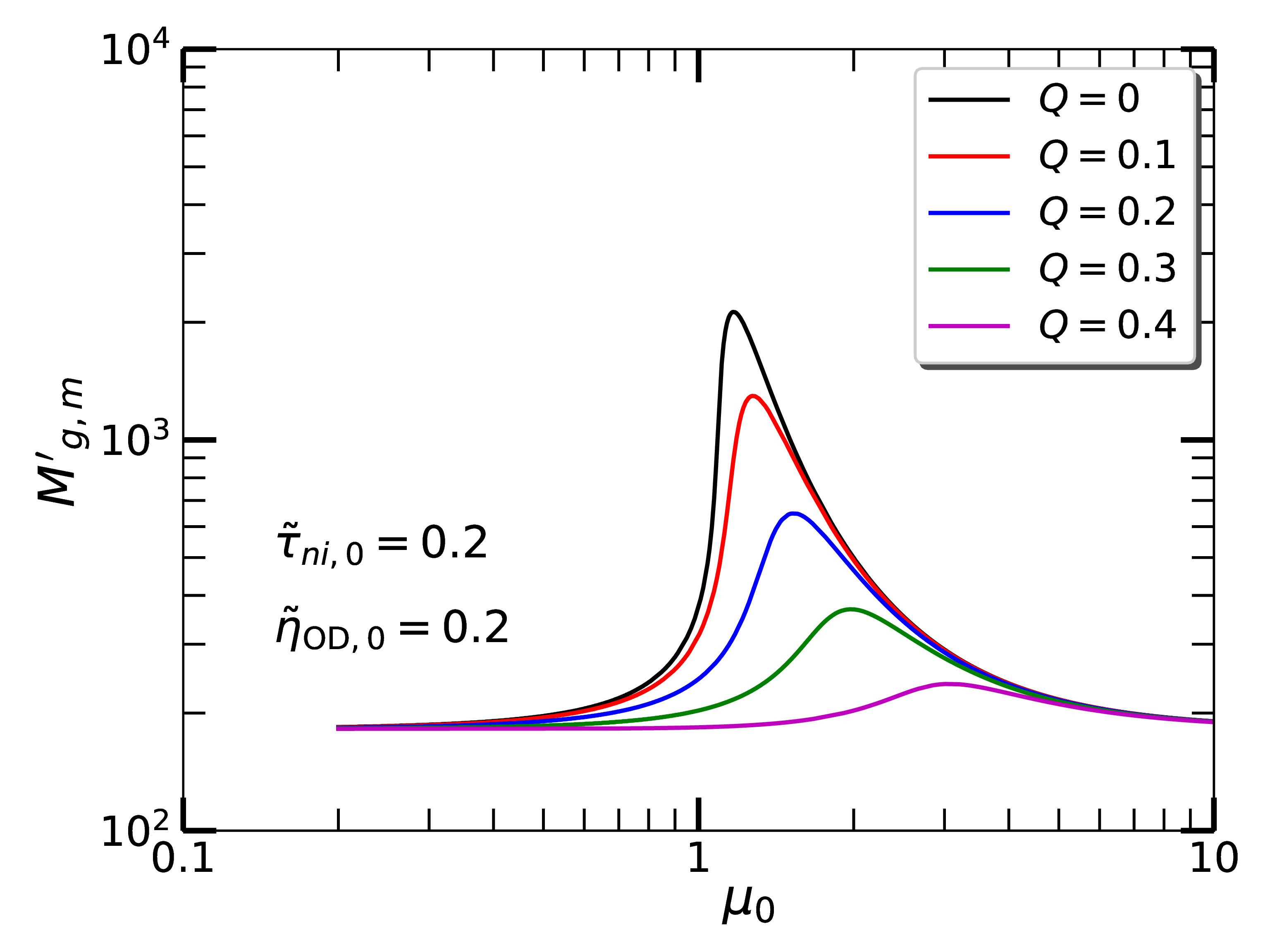
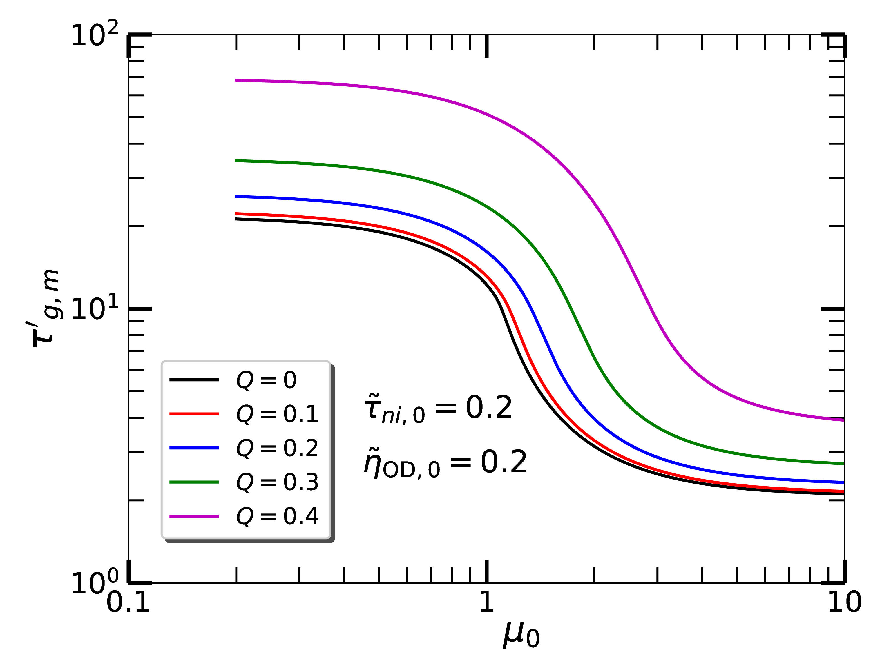
4. A semi-analytical model for the temporal evolution of the episodic disc-to-star accretion rate during star formation

Das & Basu, MNRAS, 2022
In this work, we developed a semi-analytic formalism (refer to Figure 6 for the numerical prescription) for episodic accretion from disk to star during star formation. Our model provides a self-consistent evolution of the mass accretion rate by joining the spherical envelope accretion (dominant at the earlier stage) with the disk accretion (important at the later stage) and accounts for the (gravitational instability driven) episodic accretion bursts at times. Our self-developed model can explain the basic features of the hydrodynamic simulations of episodic accretion (e.g., Vorobyov & Basu 2005, 2006, 2007). We find that the histogram of total luminosities obtained from our semi-analytic model provides a good match to the observed distribution of bolometric luminosities of YSOs, whereas neither a constant nor a time-dependent but smoothly increasing or decreasing mass accretion rate is able to do so.

fig3a fig3b


5. Variation of the Core Lifetime and Fragmentation Scale in Molecular Clouds as an Indication of Ambipolar Diffusion

Das, Basu, & André, A&A Letters, 2021
Fragmentation in large molecular clouds probed by SMA, ALMA, VLA, JCMT, and Herschel has been of great interest in recent years. In this work, we apply the magnetically (nonideal MHD) modulated threshold for fragmentation scale (length scale, time scale, and mass) to fit the data of the evolutionary time/lifetime and fragmentation mass of prestellar cores identified with Herschel Space Observatory in the Aquila cloud as well as the number of enclosed cores formed in a parent clump measured in Perseus cloud complex with the Submillimeter Array (SMA). By varying a single parameter, the normalized mass-to-flux ratio (lying in the range 1 ≤ μ ≤ 2), over the range of observationally measured densities, we fit the range of prestellar core lifetimes that varies from 0.1 to a few Myr. Moreover, we found the estimated lifetime is few times the free-fall toward the low density regime and essentially merges with the free-fall time toward the higher end of density. This cannot be explained in a purely hydrodynamic scenario.

fig3a fig3b


6. Linear Stability Analysis of a Magnetic Rotating Disk with Ohmic Dissipation and Ambipolar Diffusion

Das & Basu, ApJ, 2021
We perform a linear analysis of the stability of isothermal, rotating, magnetic, self-gravitating sheets that are weakly ionized. We include a self-consistent treatment of thermal pressure, gravitational, rotational, and magnetic (pressure and tension) forces together with two nonideal magnetohydrodynamic (MHD) effects: Ohmic dissipation and ambipolar diffusion. Our results show that there is always a preferred lengthscale and associated minimum timescale for gravitational instability. The addition of rotation leads to a generalized Toomre criterion (that includes a magnetic dependence) and modified lengthscales and timescales for collapse. We show that both the nonideal MHD effects qualitatively behave in a similar way but have quantitative differences. We apply our results to protostellar disk properties in the early embedded phase and find that the preferred scale of instability can significantly exceed the thermal (Jeans) scale and the peak preferred fragmentation mass is likely to be ~10–90 Jupiter masses.

fig4a fig4b

Stay tuned — more content is on the way!

PUBLICATIONS

First Authored Publications

  1. "Modelling the Break in the Specific Angular Momentum within the Envelope-Disk Transition Zone", Indrani Das, Shantanu Basu, Nagayoshi Ohashi, Eduard Vorobyov, Yusuke Aso, 2026, Astrophysical Journal, 1001, 166 (18pp), arXiv:2602.13683
  2. "Accretion bursts in young intermediate-mass stars make planet formation challenging", Indrani Das, Eduard Vorobyov, Shantanu Basu, 2025, Astrophysical Journal, 983, 163 (20pp), arXiv:2502.17114
  3. "How to Form a Protostar by Magnetized Gravitational Collapse?", Indrani Das, Hsien Shang, Ruben Krasnopolsky, 2025, Astrophysical Journal, 982, 193 (28pp), arXiv:2502.17530
  4. "A semi-analytical model for the temporal evolution of the episodic disc-to-star accretion rate during star formation", Indrani Das, Shantanu Basu, 2022, Monthly Notices of Royal Astronomical Society, 514, 5659–5672 (14pp), arXiv:2112.13856
  5. "Variation of the Core Lifetime and Fragmentation Scale in Molecular Clouds as an Indication of Ambipolar Diffusion", Indrani Das, Shantanu Basu and Philippe André, 2021, Astronomy & Astrophysics Letters, 649, L13, arXiv:2104.10179
  6. "Linear Stability Analysis of a Magnetic Rotating Disk with Ohmic Dissipation and Ambipolar Diffusion", Indrani Das, Shantanu Basu, 2021, Astrophysical Journal, 910, 163 (25pp), arXiv:2011.08876

Co-authored Publications

  1. "ALMA Survey of Orion Planck Galactic Cold Clumps (ALMASOP): Nested Morphological and Kinematic Structures of Outflows Revealed in SiO and CO Emission", Liu C-F; Shang H; Johnstone D; Ai T-H; Lee TM; Krasnopolsky R, ..., Indrani Das, 2025, Astrophysical Journal: 979, 17, arXiv:2411.08827
  2. "Synthetic Polarization Maps of an Outflow Zone from Magnetohydrodynamic Simulations", Gianfranco Bino, Shantanu Basu, Masahiro N. Machida, Aris Tritsis, Mahmoud Sharkawi, Kundan Kadam, Indrani Das, 2022, Astrophysical Journal, 936, 29, arXiv:2207.01743
  3. "Hourglass Magnetic Field from a Survey of Current Density Profiles", Gianfranco Bino, Shantanu Basu, Mahmoud Sharkawi, Indrani Das, 2022, New Astronomy, 101667, arXiv:2107.14679
  4. "Radiative Transfer and Generalized Wind", Christopher Essex and Indrani Das, 2020, Entropy 22(10), 1153

Non-Refereed Publications

  1. "Gravitational Instability of a Magnetic Rotating Disk with Ohmic Dissipation and Ambipolar Diffusion", Indrani Das and Shantanu Basu, 2020, Research Notes of the AAS, Volume 4, Number 12 (236th AAS Meeting)

ADS Library ORCID ORCID Profile Google Scholar Google Scholar Profile

MISCELLANEOUS

Science activities/involvements

  1. Currently serving as a mentor of Supernova Foundation. Supernova Foundation is committed to closing the gender gap in STEM (Science, Technology, Engineering, and Mathematics) by inspiring and providing mentorship on the career pathways to support young women and gender minorities who are looking to pursue careers in Physics. I encourage interested colleagues to contact me or another member to participate in the association either as a mentor or a mentee.
  2. I successfully organized a proposal writing workshop (ProWrite) for early career astronomers in Taiwan on May 25, 2026. I served as the Chair of this workshop and brought more than 50 participants across Taiwan to this training program.
  3. Served as a Co-Chair of Scientific Organizing Committee (SOC) at East Asian Young Astronomers Meeting (EAYAM), Chiang Mai, Thailand, Jan 30-Feb 2, 2024
  4. Served as a Poster Judge at the 237th and 238th AAS Meeting in 2021

Experience in Teaching Science

  1. Presented an invited lecture on Star Formation at the ASIAA Summer Student Program 2025
  2. Presented an invited lecture on Star Formation at the ASIAA Summer Student Program 2024
  3. I have been a Graduate Teaching Assistant at University Of Western Ontario since 2018, Fall to 2022, Winter for several junior undergratuade math and physics courses and Gravitational Astrophysics and Cosmology (Astronomy 4602B) for 4th year students of Physics and Astronomy.

CONFERENCE TALKS AND SEMINARS

If we met at some point, it might have been in one of the meetings below!

  1. Unstable and Time-Variable Accretion Flows from Core to Disk to Star, CITA (U. of Toronto), Toronto, Canada, Oct 15-17, 2025: "From Core Collapse to the Protoplanetary Disk–Star Systems: Tracing the formation of Protostars and Planetesimals"
  2. Star Formation in Different Environments, Quy Nhon, Vietnam, Aug 11-15, 2025: "How does a protostar form through magnetized gravitational collapse?"
  3. Born in Fire: Eruptive Stars and Planet Formation, Santiago, Chile, Sep 24-27, 2024: "Accretion bursts and prospects for planet formation in Young Intermediate-mass Stars"
  4. East Asian Young Astronomers’ Meeting, Chiang-Mai, Thailand, Jan 30-Feb 2, 2024: "Episodic mass accretion bursts in magnetized gas-dust protoplanetary disks"
  5. Asia-Pacific Regional IAU Meeting (APRIM), Fukushima, Japan, Aug 7-11, 2023: "Episodic mass accretion bursts in magnetized gas-dust protoplanetary disks"
  6. Protostars and Planets VII Meeting, Kyoto, Japan, April 10-15, 2023: Poster Presentation on "Variation of the Core Lifetime and Fragmentation Scale in Molecular Clouds as an Indication of Ambipolar Diffusion"
  7. 240th AAS Meeting, June 12-16, 2022: "Dissertation Talk"
  8. 238th AAS Meeting, June 7-9, 2021: "Semi-analytic modelling of mass accretion during star formation"
  9. ISM 2021, Beirut, May 11-14, 2021: "Variation of the Core Lifetime and Fragmentation Scale in Molecular Clouds as an Indication of Ambipolar Diffusion"
  10. 237th AAS Meeting, Jan 11-15, 2021: "Variation of the Core Lifetime and Fragmentation Scale in Molecular Clouds as an Indication of Ambipolar Diffusion"
  11. HL Tau Conference, Dec 7-11 2020: "Linear Stability Analysis of a Magnetic Rotating Disk with Ohmic Dissipation and Ambipolar Diffusion"
  12. 236th AAS Meeting, June 1-5, 2020: "Linear Stability Analysis of a Magnetic Rotating Disk with Ohmic Dissipation and Ambipolar Diffusion"
Pic 1 Pic 2

Elements

Text

This is bold and this is strong. This is italic and this is emphasized. This is superscript text and this is subscript text. This is underlined and this is code: for (;;) { ... }. Finally, this is a link.


Heading Level 2

Heading Level 3

Heading Level 4

Heading Level 5
Heading Level 6
Heading Level 7

Blockquote

Fringilla nisl. Donec accumsan interdum nisi, quis tincidunt felis sagittis eget tempus euismod. Vestibulum ante ipsum primis in faucibus vestibulum. Blandit adipiscing eu felis iaculis volutpat ac adipiscing accumsan faucibus. Vestibulum ante ipsum primis in faucibus lorem ipsum dolor sit amet nullam adipiscing eu felis.

Preformatted

i = 0;

while (!deck.isInOrder()) {
    print 'Iteration ' + i;
    deck.shuffle();
    i++;
}

print 'It took ' + i + ' iterations to sort the deck.';

Lists

Unordered

  • Dolor pulvinar etiam.
  • Sagittis adipiscing.
  • Felis enim feugiat.

Alternate

  • Dolor pulvinar etiam.
  • Sagittis adipiscing.
  • Felis enim feugiat.

Ordered

  1. Dolor pulvinar etiam.
  2. Etiam vel felis viverra.
  3. Felis enim feugiat.
  4. Dolor pulvinar etiam.
  5. Etiam vel felis lorem.
  6. Felis enim et feugiat.

Icons

Actions

Table

Default

Name Description Price
Item One Ante turpis integer aliquet porttitor. 29.99
Item Two Vis ac commodo adipiscing arcu aliquet. 19.99
Item Three Morbi faucibus arcu accumsan lorem. 29.99
Item Four Vitae integer tempus condimentum. 19.99
Item Five Ante turpis integer aliquet porttitor. 29.99
100.00

Alternate

Name Description Price
Item One Ante turpis integer aliquet porttitor. 29.99
Item Two Vis ac commodo adipiscing arcu aliquet. 19.99
Item Three Morbi faucibus arcu accumsan lorem. 29.99
Item Four Vitae integer tempus condimentum. 19.99
Item Five Ante turpis integer aliquet porttitor. 29.99
Item Six Ante turpis integer aliquet porttitor. 19.99
100.00

Buttons

  • Disabled
  • Disabled

Form